






Any questions? Our AI beta will help you find out quickly.
For over 20 years, we have been designing and creating the world's only professional Super SMT Capacitor Kits which offer the most convenience for obtaining any value of SMT capacitors in the shortest time with the highest accuracy.
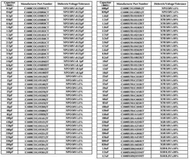
The capacitors are pre-sorted and stored separately with their main specifications, capacitance, material, voltage, and tolerance, clearly marked on each lid, see the photo on the right side, in our unique sturdy snap-lock
Super SMT Component Enclosure SK128B.
Operating the enclosure is easy and convenient that your time for obtaining a particular capacitor is minimized to just seconds. The kits can easily be placed on a work bench, put on a shelf, or transported to other sites, making them the best choice for building prototypes, doing experiments on new circuits, or reworking printed circuit boards.
0402 size 70 values, 0.5pF to 1.0uF, ±0.25pF or ±5% to ±10%; 0603 size 79 values, 0.5pF to 4.7uF, ±0.25pF or ±5% to ±20%; 0805 size 83 values, 0.5pF to 22uF, ±0.25pF or ±5% to ±20%; 1206 size 77 values, 1.5pF to 47uF, ±0.25pF or ±5% to ±20%.